
导读:提起语言我们可以追溯到从小牙牙学语到上学背诵课文,古诗词义理解到后面的英语学习,这就包含了语言的语音、语义、语言加工、双语等等。对语言的研究也一直从未停止,这个对于社会文明的推动,语言相关疾病的研究具有非常重大的意义。语言由我们的大脑中枢进行控制,随着研究的深入已经涉及到语言的大脑机理。ERPs是突触后电位的总和,反映了与刺激呈现时间同步的大脑电反应信号。ERP在记录指标上多维性的综合优势(尤其是高时间分辨率)奠定了它在语言研究中的地位和应用前景。而随着N400成分的发现,ERP已经成为语言领域研究中不可或缺的研究工具之一。


语言领域研究
一般认为,在单词识别过程中,先有词汇的提取加工,再有词汇后的整合加工。词汇提取是从被感觉的输入词信息中提取基本特征成分并激活内部心理词典中单词产生器的自动加工过程;词汇后整合是来自词汇水平加工的信息和原有的认知结构中的各种信息进行高级意义表征的控制加工过程[1]。N400,是研究脑的语言加工原理的常用ERP成分,最早由Kutas于1980年报告,他们通过屏幕向被试呈现一些句子,句子的每个单词从前往后是逐个出现的,先出现的几个句子都是正常的符合语法和语境的,最后一句是有歧义的。在呈现句子时同步记录每个单词呈现后引起的脑电变化,当最后一个单词放生歧义时会诱发出一个N400成分[2]。示例如下:

通过此成分的发现ERP开始越来越多的被应用在语言领域的研究中去,这个对于解释我们大脑的语言加工理解、语言认知具有重大而深远的意义。
语言相关临床研究
脑梗死会伴随着诸多并发症如手功能障碍或失语症等等,失语是临床上常见的中枢神经系统症状,过去人们对它的研究多采用各种量表进行的神经心理学检测方法,这种仅根据行为表现来推断大脑高级神经功能的方法有较大的局限性。但伴随着ERP的出现,已经为失语症的研究提供了一个科学的工具。
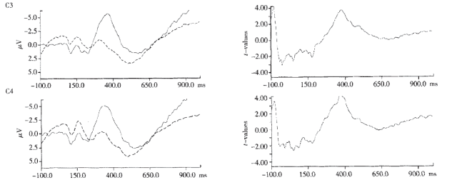
失语伴有左右半球的损伤左右半球损伤后的失语患者ERP不同,反映了左右半球参与的语言加工机制和过程不同。研究发现,轻度理解障碍组与对照组有相似的N400效应,严重理解障碍组有明显减小的N400效应,右侧半球损伤组呈现出正常的N400效应,但对语义相关的词对N400有减小倾向[3]。如下图所示:

图选自《不同言语加工水平受损的汉语失语症患者的事件相关电位》
儿童相关研究
多动症(ADHD)是儿童期最为常见的一种心理行为障碍,已引起了广大家长、老师、医务工作者及全社会的广泛关注。患了多动症后,不仅会影响自己的学习和生活,而且还会给家庭、学校和社会造成极大的伤害和负担。目前此病症的检测仅仅停留在量表等手段中。而ERP的出现提供了一个科学有效的检测手段。
有相关研究结果显示, 在匹配条件与非匹配条件下,与 NC(对照)组相比, ADHD 组 N400 潜伏期均显著延长,N400 波幅显著降低。这种 N400 潜伏期-波幅的变化与国外报道一致息加工过程的延迟或易被打断目前神经心理学通过采用各种量表对其进行量化表达,这种仅依据外部行为表现来推测脑高级功能的方法可能有很大的局限性[4]。
ADHD组与对照组相关研究结果图示:

不仅是在ADHD领域中,越来越多的儿童领域也在应用ERP如学习障碍、少年期精神障碍、儿童失神癫痫等等领域。
ERP作为窥视大脑认知功能的窗口,是探索语言加工过程和指导辅助诊断语言障碍的有效手段,随着ERP技术的不断完善和发展,与分子生物学相结合的ERP研究的深入,将会进一步促进神经语言学的发展,从而对语言障碍性疾病的研究发挥更大的作用。
文中节选自:
[1]《失语事件相关电位的研究进展》 作者:尤志珏,毛善平,王国瑾(审校)
[2]《中西文的事件相关电位N400研究现状》 作者罗跃嘉,魏景汉
[3]《不同言语加工水平受损的汉语失语症患者的事件相关电位》 作者:萧演清,宋为群,汪洁
[4]《注意缺陷多动障碍患儿事件相关电位N400 研究》 作者:吕坚,黄军斌,吴荣琴,李桦,孙复林,徐璐,钱玲萍,陈兴时,杜亚松
来源: 瀚翔生物
编辑:六六君




共有条评论 网友评论